
聯係人:徐經理
電話:139 6412 8213
地址:濟南市長清區大學科技園
網址:www.zjdiban.com
依據最新出版的NCRP Nn .151 ,采用相應的公式估算鉛防護門處的劑量。該加速器為15 MV高能加速器,治療室入口的劑量來自於:①加速器X射線散射與泄漏輻射;②中子俘獲y射線;③中子。從理論上來說,對治療室門入口的屏蔽應同時考慮這三方麵的劑量,所以防護門入口處總的劑量當量Hw (mSv·周可按公式(A)進行計算。
Hw=Hta+Hcg+Hn (A)
式中:Hta一防輻射鉛門處x射線散射與泄漏輻射的總周劑量當量;氏,Hcg一中子俘獲y輻射的周劑量當量;Hn一中子的周劑量當量。
各劑量成分的估算步驟為:
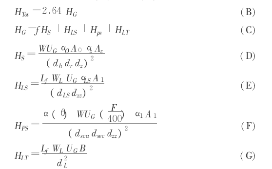
(1) Hta的估算:Hta包括:①主束通過牆G散射到鉛門處的劑量當量Hs ;②裝置頭泄漏輻射一次散射的劑量當量Hls ;③主束通過患者體表散射產生的劑量當量Hps ;④穿過迷路內牆的泄漏輻射劑量當量Hlt,可通過(B)一(G)式進行估算。

(B)一(G)式中:w一周工作負荷。Ug一主束牆G的照射使用因子;ao一主束散射麵Ao的反散射係數;A0一主束散射麵麵積;az一迷路表麵Az的第二次反散射的反散射係數(通常假定散射能量為0.5Mev。Az一主束散射麵Ao的散射線經過迷路內口發散到迷路外牆內表麵的散射麵積;dh一從靶至第一個反散射表麵的垂直距離相當於等中心點至牆的垂直距離((dpp+1m,dr一第一個反散射束線中心沿其散射方向經過迷路內牆邊緣到迷路中線點c的距離(m);dz一沿迷路從點C到入口防護門的距離(m);Lf一距靶1m處機頭泄漏輻射率;Wl一泄漏輻射工作負荷;aLS一泄漏輻射散射到主束牆G的反散射係數(可查NCRP 151中表BA) ; A1一從門入口可見的牆G的麵積 ; dls一靶至牆G上迷路中線的距離(m),(可以等中心作為平均靶位置進行測量,本文在計算中仍作實際度量獲得該距離值);dsec一等中心點到散射麵A1的距離(M);F一患者等中心1m處照射野的麵積。aθ一患者有用束的散射輻射以θ角入射到牆G的散射因子(可查NCRP 151中表;al-牆G對患者有用束散射輻射的反散射係數(可查NCRP 151中表BA);dsca一靶至患者的距離(m);dsec一患者至迷路牆G上中線的距離(m) ; dzz一迷路中從散射表麵A1到門的距離(m);B一迷路內牆Z對機頭泄漏輻射的衰減因子;dl一靶經由迷路內牆Z至防護門中心的距離(m) ,
(2) Hcg的估算:可使用(H)一(J)式對Hcg進行估算。
(H)一(J)式中:hφ一防護門處單位輸出劑量(吸收劑量的中子俘獲γ劑量當量;K一圖1中A點“中子俘獲y劑量當量一總中子注量”轉換係數K =6.9 X 10sv●m2: φAK一A點單位吸收劑量(GY)的總中子注量(下同);φAK-A點的中子俘獲y劑量當量;d1一圖1中等中心點。到A點的距離(m) ; d2-A點到入口門的距離(m) ; TVD縱一光子10倍衰減距離(18-25 MV時,TVD =5.4 m;15mw時,TVD = 3.9 m);β一穿過靶屏蔽體的中子衰減因子;δn一單位吸收劑量的中子數。
(J)式中3個計算分式分別表示直射中子、散射中子和熱中子的注量,其中散射中子和熱中子計算分式中的1/2π考慮了進入迷路的中子份額。